No Limitation
[Graph] MST - Kruskal Algorithm - 백준 본문
https://www.acmicpc.net/problem/1197
1197번: 최소 스패닝 트리
첫째 줄에 정점의 개수 V(1 ≤ V ≤ 10,000)와 간선의 개수 E(1 ≤ E ≤ 100,000)가 주어진다. 다음 E개의 줄에는 각 간선에 대한 정보를 나타내는 세 정수 A, B, C가 주어진다. 이는 A번 정점과 B번 정점이
www.acmicpc.net
Minimum Spanning Tree 문제가 무엇이며 이를 푸는 대표적인 알고리즘으로 사용되는 Kruskal 알고리즘에 대해 공부해보자
이 외에도 Prim Algorithm도 있으니 추후에 정리하자.

MST는 최소 연결 부분 그래프라고 이해하면 된다.
여기서 최소의 의미는 edge의 가중치의 합이 가장 적은 경우를 의미한다!

- 신장트리는 최소 연결 부분 그래프 [ 이 중 가장 weight가 적은 녀석으로 ]
- 모든 정점들이 연결되어 있어야 하고 cycle이 있으면 안됨!
- n개의 vertex, n-1의 edge
이러한 MST 문제는 다음과 같은 실생활 문제를 해결할 때 사용된다.
- 컴퓨터, 통신망 네트워크 문제
- 최적화 문제
- 상하수도 공급망 형성 문제 등에 사용
이 문제를 해결하기 위해 Kruskal 알고리즘은
"정렬" 과 "disjointset" 알고리즘을 사용한다.
우선 모든 edge들을 가중치를 기준으로 정렬을 해준 다음,
그래프를 만들어가는데 이 때 cycle check를 해주기 위해 disjointset 알고리즘을 사용한다.
예를 들어보자
우선 다음과 같은 그래프가 있다고 가정해보자

이 예제에서 MST를 찾고자 한다.
Union Find는 MST 구축 시 Cycle Check를 위해 사용되는데,
어떤 식으로 Cycle check를 하는 지 알아보자
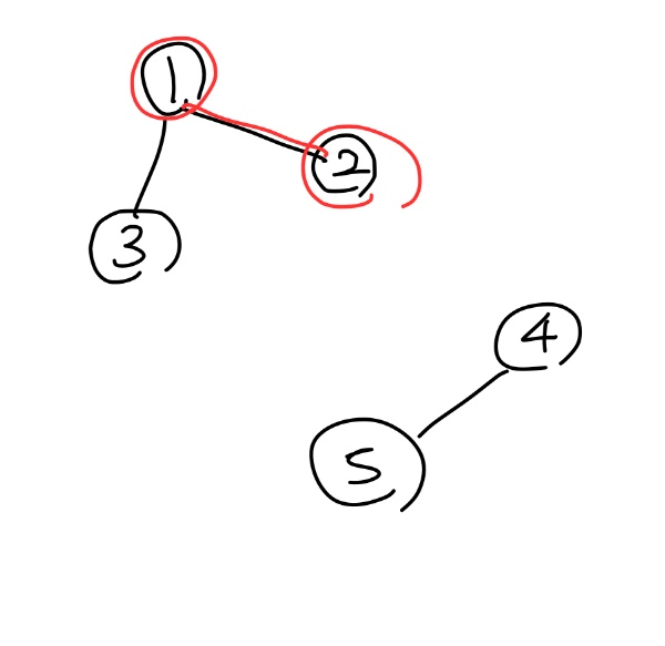
우선 다음과 같이 그래프가 구성된다고 보자

이러한 그래프가 있을 때
Union Find에서 수행한 것처럼 우선 각 노드의 "부모"와 "랭크"를 초기화해준다.
parent = { 1: 1, 2: 2, 3: 3, 4: 4, 5: 5 }
rank = { 1 : 0, 2 : 0, 3 : 0, 4 : 0, 5 : 0 }
우선 여기서 edge별로 살펴보면서 하나씩 확인해보자
1과 2를 확인

각 노드의 부모를 찾는다. → Find ( Path Compression )
이 경우 1의 부모는 1, 2의 부모는 2
여기서는 부모가 다르다 → 따라서 Union을 수행해서 하나의 집합으로 합친다.
다음으로 3을 보자

4, 5도 마찬가지로 별도의 서로소 집합을 구축한다.

그런데 여기서, 만약 2와 3을 연결한다고 해보자!

이러한 메커니즘으로 cycle check를 하게 된다
그렇다면 저 edge들을 어떤 순서대로 볼까?
크루스컬은 바로 저 edge들을 "weight가 작은 순"대로 살펴보는 것이 핵심이다.
즉 위 그림의 예제도 다음과 같이 선택할 수 있는 것이다.



이러한 방법으로 동작을 수행한다.
정렬이 대부분의 시간 cost를 차지하기 때문에 크루스컬의 시간 복잡도는 다음과 같다.
Kruskal Algorithm
- 모든 Edge들의 정보를 담은 list를 정렬해준다!!! → 시간 복잡도 O(nlogn)
- Cycle Check를 하기 위해 Union Find Algorithm을 사용한다!! —> edge*G(n)
이러한 메커니즘으로 다음 문제를 풀이한 결과는 다음과 같다.
V, E = [int(x) for x in input().split()]
graph = [ [int(x) for x in input().split()] for _ in range(E) ]
def Union(x,y) :
if rank[x] > rank[y] :
parent[y] = x
rank[x] += 1
if rank[x] < rank[y] :
parent[x] = y
rank[y] += 1
else :
parent[y] = x
rank[x] += 1
def Find(u) :
if parent[u] != u :
parent[u] = Find(parent[u])
return parent[u]
kruskal_graph = []
parent= {}; rank = {}
for i in range(1,V+1) :
parent[i] = i
rank[i] = 0
answer = 0
for u, v, c in sorted(graph, key= lambda x : x[2]) :
u_parent = Find(u); v_parent=Find(v)
if u_parent != v_parent :
Union(u_parent, v_parent)
kruskal_graph.append([u,v,c])
answer += c
#print(kruskal_graph)
print(answer)
'프로그래밍' 카테고리의 다른 글
| wget 명령어 오류 관련 (0) | 2022.06.15 |
|---|---|
| [Greedy] 신입사원 - 백준 (0) | 2022.03.02 |
| [Graph] Bellman-Ford Algorithm, 최소비용 구하기 - 백준 (0) | 2022.02.26 |
| [구현, 시뮬레이션] 2개 이하로 다른 비트 - 프로그래머스 (0) | 2022.02.12 |
| [Back Tracking, 완전탐색] 약수의 갯수와 덧셈 - 프로그래머스 (0) | 2022.02.12 |